Plantilla:Funciones definidas a trozos

De Wikipedia

(Diferencia entre revisiones)
Revisión de 09:15 21 ene 2009
Coordinador (Discusión | contribuciones)

← Ir a diferencia anterior
Revisión de 09:19 21 ene 2009
Coordinador (Discusión | contribuciones)

Ir a siguiente diferencia →
Línea 4: Línea 4:
{{p}} {{p}}
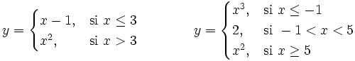
{{Desplegable|titulo=Ejemplos:|contenido=Son funciones definidas a trozos: {{Desplegable|titulo=Ejemplos:|contenido=Son funciones definidas a trozos:
- +:<math>y = \begin{cases} x-1, & \mbox{si }x \le 3 \\ x^2, & \mbox{si }x>3 \end{cases} \qquad \qquad y = \begin{cases} x^3, & \mbox{si }x \le -1 \\ 2, & \mbox{si }-1<x<5 \\ x^2, & \mbox{si }x \ge 5 \end{cases}</math>
}} }}

Revisión de 09:19 21 ene 2009

Una función definida a trozos es aquella que utiliza varias expresiones para su definición, utilizando cada una de ellas en un determinado tramo del dominio de definición de la función principal.

Herramientas personales
* AVISO: Para que te funcionen los applets de Java debes usar Internet Explorer y seguir las instrucciones de la Ayuda del menu de la izquierda