Plantilla:Funciones definidas a trozos
De Wikipedia
(Diferencia entre revisiones)
| Revisión de 11:44 21 ene 2009 Coordinador (Discusión | contribuciones) ← Ir a diferencia anterior |
Revisión de 11:49 21 ene 2009 Coordinador (Discusión | contribuciones) Ir a siguiente diferencia → |
||
| Línea 17: | Línea 17: | ||
| }} | }} | ||
| {{p}} | {{p}} | ||
| - | {{Ejemplo|titulo=Ejemplos: ''Función definida a trozos'' | + | {{Ejemplo|titulo=Ejemplo: ''Función definida a trozos'' |
| |enunciado=Representa la siguiente función: | |enunciado=Representa la siguiente función: | ||
Revisión de 11:49 21 ene 2009
Una función definida a trozos es aquella que utiliza varias expresiones para su definición, utilizando cada una de ellas en un determinado tramo del dominio de definición de la función principal.
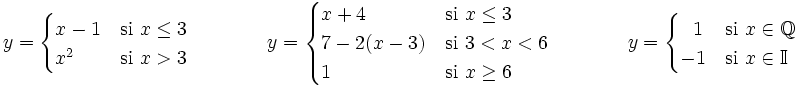
Ejemplos:
Son funciones definidas a trozos:
En la siguiente escena puedes ver la representación de la segunda de las funciones anteriores. Mueve el punto P para ver que función corresponde a cada tramo.
Ejemplo: Función definida a trozos
Representa la siguiente función:

|
Actividad Interactiva: Funciones definidas a trozos
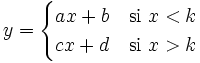
Actividad 1: Funciones lineales definidas en dos trozos.
Actividad: En esta escena representaremos funciones a trozos del tipo: ![]() Modifica con los controles los valores de a, b, c, d y k. Podrás obtener así distintas funciones a trozos. |


