Números complejos: Definición (1ºBach)
De Wikipedia
| Revisión de 09:48 10 mar 2009 Coordinador (Discusión | contribuciones) (→Representación gráfica de los números complejos) ← Ir a diferencia anterior |
Revisión de 09:51 10 mar 2009 Coordinador (Discusión | contribuciones) (→Representación gráfica de los números complejos) Ir a siguiente diferencia → |
||
| Línea 134: | Línea 134: | ||
| a) Representa en tu cuaderno los siguientes números complejos: | a) Representa en tu cuaderno los siguientes números complejos: | ||
| - | :5 + 2i, -4 + 3i, -3 - 2i, 4.5 - 3i, 5i, -2i, -3.8, 1, -1, i, -i. | + | :<math>5 + 2i \, , \quad -4 + 3i \quad , \quad -3 - 2i \quad , \quad 4.5 - 3i \quad , \quad 5i \quad , \quad -2i \quad , \quad -3.8 \quad , \quad 1 \quad , \quad -1 \quad , \quad i \quad , \quad -i</math> |
| b) Comprueba tus representaciones en la escena anterior. | b) Comprueba tus representaciones en la escena anterior. | ||
Revisión de 09:51 10 mar 2009
| Enlaces internos | Para repasar o ampliar | Enlaces externos |
| Indice Descartes Manual Casio | WIRIS Geogebra Calculadoras |
Tabla de contenidos |
Necesidad de ampliación del campo numérico
Hay ecuaciones como

que no tienen solución en el conjunto de los números reales
(no existe en
)Vamos a definir un nuevo conjunto que amplie al conjunto de los números reales y en el cual estas ecuaciones si tengan solución. Ese conjunto va a ser el conjunto de los números complejos. Para ello habrá que a empezar dando sentido a las raíces de números negativos.
Unidad imaginaria
| Desde Al-Jwarizmi (800 DC), precursor del Álgebra, que sólo obtenía las soluciones positivas de las ecuaciones, pasaron más de ocho siglos, hasta que finalmente Descartes en 1637 puso nombre a las raíces cuadradas de números negativos, numeros imaginarios, y dedujo que las soluciones no reales de las ecuaciones eran números complejos. Durante todo ese tiempo se manejaron esas soluciones sin definirlas claramente, aunque Girard, en 1629, afirmaba ya que una ecuación polinómica de grado n tenía n soluciones.
Se denomina unidad imaginaria a ![]() Con esta definición, la ecuación anterior ahora si tiene solución "imaginaria": ![]() |
Potencias de la unidad imaginaria
A partir de
se repiten cíclicamente los valores.
El conjunto de los números complejos
Definimos el conjunto de los números complejos de la siguiente manera:

Forma binómica de un número complejo
- La expresión
se denomina forma binómica de un número complejo. En ella, a
se le llama parte real y a
parte imaginaria. Si escribimos
, entonces se dice que
y
- Si
, lo que tenemos es un número real, por tanto
.
- Si
, lo que tenemos no es un número real, es un número imaginario.
- Si
y
, se le llama número imaginario puro.
- Dos números complejos en forma binómica son iguales si tienen iguales sus partes reeales y sus partes imaginarias.

Opuesto y conjugado de un complejo
- Se define el opuesto de un complejo
como el número complejo
.
- Se define el conjugado de un complejo
como el número complejo
.
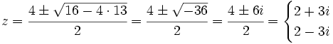
Proposición
- Cualquier ecuación de segundo grado con coeficientes reales que no tenga solución real tiene dos soluciones imaginarias que son números complejos conjugados
Veámoslo con un ejemplo:
Representación gráfica de los números complejos
Para representar los números reales utilizabamos una recta, la recta real. Para representar los números complejos vamos a utilizar un plano, el plano complejo. ¿Por qué?. Muy simple, un número complejo en forma binómica queda determinado por un par de números reales: su parte real, y su parte imaginaria, . De esta manera, el par representa las coordenadas de un punto del plano. Diremos que es el afijo del número complejo .
Ahora, al eje X, lo llamaremos eje real, y al eje Y, eje imaginario. También podemos representar al número complejo mediante un vector de origen Algunos fractales son representados en el plano complejo, como los conjuntos de Mandelbrot y de Julia. |
|
|
Actividad interactiva: Representación gráfica de números complejos
|
Video: Fractales... la geometría del caos (18´)
El ordenador los ha puesto de moda. Y sin embargo ya eran conocidos a principios de siglo. Nos referimos a los fractales. Son los objetos matemáticos más atractivos, espectaculares y enigmáticos. A medio camino entre la linea y el plano, entre el plano y el espacio, rompen hasta con el concepto clásico de dimensión. Sus dimensiones no son números enteros, de ahí su extraño nombre. Y sin embargo se pueden obtener mediante simples iteracciones, es decir, repitiendo indefinidamente procedimientos geométricos o funcionales muy simples. Han dado origen a una nueva geometría: la geometría fractal. Una nueva herramienta matemática capaz de arrojar un poco de luz sobre los fenómenos caóticos y de mostrarnos que incluso en el caos es posible encontrar un determinado orden.
. Se designa por la letra


(Al hacer la división entera:
).

representa las coordenadas de un punto del plano. Diremos que
y extremo 

