La hipérbola (1ºBach)
De Wikipedia
| Revisión de 11:18 1 abr 2009 Coordinador (Discusión | contribuciones) (→Ecuación de la hipérbola con el centro desplazado del origen de coordenadas) ← Ir a diferencia anterior |
Revisión de 11:20 1 abr 2009 Coordinador (Discusión | contribuciones) (→Construcciones de la hipérbola) Ir a siguiente diferencia → |
||
| Línea 247: | Línea 247: | ||
| ==Construcciones de la hipérbola== | ==Construcciones de la hipérbola== | ||
| - | {{AI2|titulo=Actividad interactiva: ''Construcciones de la elipse''|cuerpo= | + | {{AI2|titulo=Actividad interactiva: ''Construcciones de la hipérbola''|cuerpo= |
| {{ai_cuerpo | {{ai_cuerpo | ||
| |enunciado='''Actividad 1:''' Usando la definición de hipérbola como lugar geométrico. | |enunciado='''Actividad 1:''' Usando la definición de hipérbola como lugar geométrico. | ||
| Línea 253: | Línea 253: | ||
| En la siguiente escena, activa la traza, desliza el punto P y observa. | En la siguiente escena, activa la traza, desliza el punto P y observa. | ||
| - | #¿Qué tipo de curva describe la traza de P en su movimiento? | + | *¿Qué tipo de curva describe la traza de P en su movimiento? |
| - | #¿Qué representan los segmentos verde y morado? | + | *¿Qué representan los segmentos verde y morado? |
| - | #¿Qué propiedad cumplen todos los puntos por los que pasa P? | + | *¿Qué propiedad cumplen todos los puntos por los que pasa P? |
| + | *Desliza ahora el punto P' | ||
| <center><iframe> | <center><iframe> | ||
| Línea 272: | Línea 273: | ||
| <center><iframe> | <center><iframe> | ||
| - | url=http://maralboran.org/web_ma/geogebra/figuras/hiperbola_2.html | + | url=http://maralboran.org/web_ma/geogebra/figuras/hiperbola_6.html |
| width=780 | width=780 | ||
| height=460 | height=460 | ||
| name=myframe | name=myframe | ||
| </iframe></center> | </iframe></center> | ||
| - | <center>[http://maralboran.org/web_ma/geogebra/figuras/hiperbola_2.html '''Click''' aquí si no se ve bien la escena]</center> | + | <center>[http://maralboran.org/web_ma/geogebra/figuras/hiperbola_6.html '''Click''' aquí si no se ve bien la escena]</center> |
| Desliza el punto Q y observa los cambios. | Desliza el punto Q y observa los cambios. | ||
Revisión de 11:20 1 abr 2009
| Enlaces internos | Para repasar o ampliar | Enlaces externos |
| Indice Descartes Manual Casio | WIRIS Geogebra Calculadoras |
EN CONSTRUCCIÓN!!!!!
Tabla de contenidos |
La hipérbola
Dados dos puntos
y
llamados focos, y una distancia
, llamada constante de la hipérbola (
), se llama hipérbola al lugar geométrico de los puntos
del plano cuya diferencia de distancias a los focos es, en valor absoluto, igual a
:
|
|
Elementos de la hipérbola
Una una elipse de focos
Propiedades
Demostración:
![]()
![]()
![]() |
Excentricidad de la hipérbola
La excentricidad es un parámetro que determina el grado de desviación de una sección cónica con respecto a una circunferencia.
La excentricidad de la hipérbola es el cociente entre la distancia focal y el eje:

Propiedades
- En una hipérbola
.
Como la hipotenusa del triángulo rectángulo es mayor que los catetos, tenemos que

|
Actividad interactiva: Excentricidad de la hipérbola
Actividad 1: En la siguiente escena vamos a ver como se ve afectada la hipérbola si modificamos su excentricidad.
Actividad: Ejercicios: Modifica el valor de e (deslizando el punto verde) y observa los cambios.
Pulsa el botón Actualizar para recuperar la imagen inicial. Modifica el valor de a y observa los cambios.
|
Ecuaciones de la hipérbola
Ecuación reducida de la hipérbola
Ecuación reducida de la hipérbola
- La ecuación de una hipérbola con semieje
, con centro en el origen de coordenadas y focos en el eje de abscisas es:
|
|
Sean
y
los focos de la elipse. Cualquier punto P(x,y) de la misma cumple:

Sustituyendo las distancias por su fórmula matemática, y contemplando la posibilidad del doble signo que surge de suprimir el valor absoluto:

Pasamos la segunda raíz al segundo miembro:

Se elevan al cuadrado ambos miebros y se simplifica:



Se elevan al cuadrado los dos miembros:

Reordenando y agrupando términos:

Teniendo en cuenta que
:

Dividiendo la expresión por
:
se obtiene la cuación buscada:

|
Actividad interactiva: Ecuación reducida de la hipérbola
Actividad 1: En la siguiente escena vamos a calcular la ecuación reducida de la hipérbola semieje 4 y semidistancia focal 5.
Actividad: La ecuación reducida viene dada por la fórmula: ![]() Sustituyendo ![]() Puedes ver su gráfica en la siguente escena: Ejercicio:
|
Ecuación de la hipérbola con los focos en el eje Y
Ecuación de la hipérbola con los focos en el eje Y
- La ecuación de una hipérbola con semieje
, con centro en el origen de coordenadas y focos en el eje de ordenadas es:
|
|
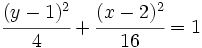
Ecuación de la hipérbola con el centro desplazado del origen de coordenadas
Ecuación de la hipérbola con el centro desplazado del origen
- La ecuación de una elipse con semieje
y centro
es:
- Si el eje FF' es paralelo al eje X:
|
|
- Si el eje FF' es perpendicular al eje X:
|
|
|
Actividad interactiva: Ecuación de la hipérbola con el centro desplazado del origen de coordenadas
Actividad 1: En la siguiente escena vamos a calcular la ecuación de la hipérbola de centro O(-3,1), semieje a=3 y semidistancia focal c=5.
Actividad: La ecuación viene dada por la fórmula: ![]()
![]() Puedes ver su gráfica en la siguente escena: Ejercicio:
Actividad 2 En la siguiente escena vamos a calcular la ecuación de la hipérbola con eje focal vertical de centro O(3,-1), a=2 y b=3.
Actividad: La ecuación viene dada por la fórmula: ![]()
![]() Puedes ver su gráfica en la siguente escena: Ejercicio:
|
Construcciones de la hipérbola
|
Actividad interactiva: Construcciones de la hipérbola
Actividad 1: Usando la definición de hipérbola como lugar geométrico.
Actividad: En la siguiente escena, activa la traza, desliza el punto P y observa.
Actividad 2: La hipérbola como envolvente (1).
Actividad: Desliza el punto Q y observa los cambios. Activa el trazo de la recta y vuelve a deslizar Q
Tras pulsar sobre para volver a la figura inicial, modifica la posición de F y repite lo anterior.
|
y
, con ejes de simetría
y su perpendicular pasando por su centro
, determina los siguientes segmentos:


(constante de la hipérbola)
y
.
un punto de la hipérbola:

y
, tenemos


y
, tenemos:








