Número áureo
De Wikipedia
| Revisión de 06:01 8 sep 2016 Coordinador (Discusión | contribuciones) (→Rectángulo áureo) ← Ir a diferencia anterior |
Revisión de 06:02 8 sep 2016 Coordinador (Discusión | contribuciones) (→Rectángulo áureo) Ir a siguiente diferencia → |
||
| Línea 37: | Línea 37: | ||
| ==Rectángulo áureo== | ==Rectángulo áureo== | ||
| - | {{Tabla75|celda2=[[Imagen:rectangulos_aureos.png|thumb|Fig. 2 Si en un rectángulo áureo substraemos la imagen de un cuadrado igual al de su lado menor, el rectángulo resultante es igualmente un rectángulo áureo.]] | + | {{Tabla75|celda2=[[Imagen:rectangulos_aureos.png|thumb|Fig. 2 Si en un rectángulo áureo substraemos la imagen de un cuadrado igual al de su lado menor, el rectángulo resultante es también un rectángulo áureo.]] |
| |celda1= | |celda1= | ||
| {{Caja_Amarilla|texto=El '''rectángulo áureo''' (o rectángulo dorado) es un rectángulo que posee una proporcionalidad entre sus lados igual al '''número áureo'''.}} | {{Caja_Amarilla|texto=El '''rectángulo áureo''' (o rectángulo dorado) es un rectángulo que posee una proporcionalidad entre sus lados igual al '''número áureo'''.}} | ||
| {{p}} | {{p}} | ||
| - | {{Teorema|titulo=Proposición 2|enunciado=:Si en un rectángulo áureo substraemos la imagen de un cuadrado igual al de su lado menor, el rectángulo resultante es igualmente un rectángulo áureo. | + | {{Teorema|titulo=Proposición 2|enunciado=:Si en un rectángulo áureo substraemos la imagen de un cuadrado igual al de su lado menor, el rectángulo resultante es también un rectángulo áureo. |
| |demo=Partimos de un rectángulo áureo. Lo dividimos en un cuadrado de lado su lado menor y otro rectángulo pequeño, como se observa en la Fig. 2. | |demo=Partimos de un rectángulo áureo. Lo dividimos en un cuadrado de lado su lado menor y otro rectángulo pequeño, como se observa en la Fig. 2. | ||
Revisión de 06:02 8 sep 2016
El número áureo
El número áureo, es un número irracional, representado por la letra griega phi φ (en minúscula) o Φ (en mayúscula) en honor al escultor griego Fidias, cuyo valor es:
![]() También se le conoce como número de oro o razón áurea o divina proporción (por la obra de Luca Pacioli, De Divina Proportione, escrito entre 1496 y 1498). Proposición 1
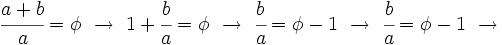
![]() Demostración: Partimos de la proporción dada: ![]() Separamos en dos sumandos el término de la izquierda: ![]() Llamando ![]() Quitando denominadores y trasponiendo términos: ![]() ecuación de segundo grado cuya única raíz válida es: ![]() |
Rectángulo áureo
El rectángulo áureo (o rectángulo dorado) es un rectángulo que posee una proporcionalidad entre sus lados igual al número áureo. Proposición 2
Demostración: Partimos de un rectángulo áureo. Lo dividimos en un cuadrado de lado su lado menor y otro rectángulo pequeño, como se observa en la Fig. 2. Veamos que el rectángulo pequeño también es un rectángulo áureo. Para ello tendremos que comprobar que Por ser el rectángulo de partida un rectángulo áureo, se cumple que ![]() ![]() |
Videos y páginas web
Documental sobre el número aureo.
El programa presenta a este exótico número ya conocido por los griegos. Veremos cómo se obtiene, qué son los rectángulos áureos y su presencia en infinidad de manifestaciones artísticas, en Pintura, Arquitectura, Escultura... a lo largo de la historia. Pero el número de oro no es un mero invento del hombre, la naturaleza nos sorprende de una forma que no puede ser casual, tanto en el mundo vegetal como en el animal, como en multitud de fenómenos físicos, con acontecimientos en los que este famosos número hace acto de presencia.
A lo largo de la historia, Phi, el número de oro o número áureo, ha representado, para las personas que lo han conocido, la belleza, la magia, la perfección, lo divino. ¿Por qué?. Página elaborada por D. Luis Nicolás Ortiz.




, tenemos que
, de manera que:






