Plantilla:Ejercicios de crecimiento y puntos extremos
De Wikipedia
(Diferencia entre revisiones)
| Revisión de 12:24 11 oct 2014 Coordinador (Discusión | contribuciones) ← Ir a diferencia anterior |
Revisión de 16:45 3 nov 2016 Coordinador (Discusión | contribuciones) Ir a siguiente diferencia → |
||
| Línea 7: | Línea 7: | ||
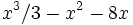
| <center>[[Imagen:funcion1d.png]]</center> | <center>[[Imagen:funcion1d.png]]</center> | ||
| |sol= | |sol= | ||
| - | En <math>[-4, -2]\;\!</math> la función es decreciente, en <math>[-2, 0]\;\!</math> es creciente, en <math>[0, 3]\;\!</math> es decreciente y en <math>[3, 5]\;\!</math> creciente.<br> | + | *Creciente: <math>[-2, 0] [3, 5]\;\!</math> |
| - | Tiene un máximo en (0,5) y mínimos en (-2,-3) y (3,-4). | + | *Decreciente:<math>[-4, -2] [0, 3]\;\!</math> |
| + | |||
| + | *Máximo:<math>(0,5)\;</math> | ||
| + | *Mínimos:<math>(-2,-3) , \, (3,-4)</math> | ||
| + | |||
| }} | }} | ||
| }} | }} | ||
| {{p}} | {{p}} | ||
| + | {{wolfram desplegable|titulo=Máximos y mínimos|contenido= | ||
| {{wolfram | {{wolfram | ||
| |titulo=Actividad: ''Máximos y mínimos'' | |titulo=Actividad: ''Máximos y mínimos'' | ||
| Línea 34: | Línea 39: | ||
| {{widget generico}} | {{widget generico}} | ||
| }} | }} | ||
| - | + | }} | |
| }} | }} | ||
| {{p}} | {{p}} | ||
Revisión de 16:45 3 nov 2016
|
Ejercicios: Crecimiento. Máximos y mínimos |
|
Actividad: Máximos y mínimos Las siguientes actividades son sólo ilustrativas ya que su resolución manual excede el nivel de este curso.
Solución: Para averiguar las soluciones debes escribir donde pone "Escribe tu consulta" las siguientes expresiones:
|


.

