Plantilla:Método de sustitución

De Wikipedia

(Diferencia entre revisiones)
Revisión de 07:43 21 abr 2017
Coordinador (Discusión | contribuciones)

← Ir a diferencia anterior
Revisión de 10:31 2 may 2017
Coordinador (Discusión | contribuciones)

Ir a siguiente diferencia →
Línea 40: Línea 40:
{{p}} {{p}}
{{Video_enlace_unicoos {{Video_enlace_unicoos
-|titulo1=Ejemplo: método de sustitución+|titulo1=Ejemplo 1: método de sustitución
|duracion=3'59" |duracion=3'59"
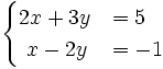
-|sinopsis=Ejemplo de resolución de un sistema de ecuaciones de primer grado por el método de sustitución.+|sinopsis=Resuelve por el método de sustitución:
 + 
 +:<math>\begin{cases}2x+3y & = 5 \\ ~x-2y & = -1 \end{cases}</math>
 + 
|url1=https://www.youtube.com/watch?v=h9q5rLcW73Y |url1=https://www.youtube.com/watch?v=h9q5rLcW73Y
 +}}
 +{{Video_enlace_julioprofe
 +|titulo1=Ejemplo 2: método de sustitución
 +|duracion=4'15"
 +|sinopsis=Resuelve por el método de sustitución:
 +
 +:<math>\begin{cases}2x+3y & = 12 \\ ~x-y & = 1 \end{cases}</math>
 +|url1=https://www.youtube.com/watch?v=3FHhPLVUt9o&index=103&list=PL9B9AC3136D2D4C45
}} }}
{{p}} {{p}}

Revisión de 10:31 2 may 2017

ejercicio

Procedimiento


Para resolver un sistema por el método de sustitución se siguen los siguientes pasos:

  1. Se despeja una incógnita en una de las ecuaciones (la que resulte más fácil de despejar).
  2. Se sustituye la incógnita despejada en (1) en la otra ecuación, obteniendo una ecuación con una sola incógnita.
  3. Se resuelve la ecuación obtenida en (2), averiguando así una de las incógnitas del sistema.
  4. El valor obtenido en (3) se sustitute en la expresión de la incógnita despejada en (1), averiguando así el valor de la incógnita que faltaba, y, por tanto, resolviendo el sistema.

ejercicio

Ejemplo: Método de sustitución


Resuelve por el método de sustitución el siguiente sistema:

\left . \begin{matrix} x-y=6 \\ 3x+2y=13 \end{matrix} \right \}

Herramientas personales
* AVISO: Para que te funcionen los applets de Java debes usar Internet Explorer y seguir las instrucciones de la Ayuda del menu de la izquierda