Plantilla:Raíces
De Wikipedia
Tabla de contenidos |
Raíz n-ésima de un número
La raíz n-ésima
de un número
es otro número
tal que
y que escribimos simbólicamente
.
![\sqrt[n]{a}=b \iff b^n =a](/wikipedia/images/math/f/f/7/ff79017c635440f207b67b250c3660fb.png)
El número
se llama radicando, el número
índice y
la raíz.
Si el índice es 2 las llamaremos raíces cuadradas; si el índice es 3, raíces cúbicas; si es 5, 6, ..., raíces cuartas, quintas, ....
Propiedades de las raíces
Propiedades
;
, para cualquier valor del índice
.
- Si
,
existe cualquiera que sea el índice
.
- Si
,
sólo existe si el índice
es impar.
- Si el índice
es par y el radicando
, la raíz tiene dos soluciones: una positiva y otra negativa, pero iguales en valor absoluto.
- Si el índice
es impar, siempre tiene una única solución, que tiene el mismo signo que el radicando
.
Tutorial que explica la definición de raíz (radical) realizando el cálculo de alguna raíces exactas de números racionales (enteros y decimales).
Raíz n-ésmina de un número. Ejemplos sencillos.
Raíz n-ésmina de un número. Ejemplos más complejos.
Raíz n-ésmina de un número. Ejemplos sencillos.
- Raíces de un número entero.
- Raíces cuadradas y cúbicas.
- Partes de una raíz.
- Raíces de números positivo, negativos y del cero.
- Raíz exacta y raíz entera.
- Calculo manual de raíces cuadradas.
- Los radicales.
- Extracción de factores de un radical.
1) Completa:
- 1a)
- 1b)
- 1c)
- 1d)
2) Completa:
- 2a)
- 2b)
- 2c)
- 2d)
- 2e)
- 2f)
3) Completa:
- 3a)
- 3b)
- 3c)
- 3d)
- 3e)
- 3f)
- 3g)
4) Contesta:
- 4a) ¿Hay algún número que elevado al cuadrado dé -25? ¿Existe
?
- 4b) ¿Hay algún número que elevado al cuadrado dé -36? ¿Existe
?
- 4c) ¿hay algún número que elevado al cuadrado dé un número negativo?
- 4d) ¿Hay algún número que elevado al cubo dé -27? ¿Existe
?
- 4e) ¿Hay algún número que elevado al cubo dé -64? ¿Existe
?
- 4f) ¿hay algún número que elevado al cubo dé un número negativo?
- 4g) ¿Hay algún número que elevado a la cuarta dé -81? ¿Existe
?
- 4h) ¿Hay algún número que elevado a la quinta dé -243? ¿Existe
?
- 4i) ¿De qué depende que exista una raíz de radicando negativo?
5) Calcula:
- 5a)
;
- 5b)
;
- 5c)
;
- 5d)
;
- 5e)
;
- 5f)
;
- 5g)
;
- 5h)
;
- 5i)
;
- 5j)
;
6) Calcula:
- 6a)
;
- 6b)
;
- 6c)
;
- 6d)
;
- 6e)
;
6) Calcula:
- 7a)
;
- 7b)
;
- 7c)
;
- 7d)
;
8) Indica, en cada caso, la raíz, el índice y el radicando:
- 8a)
- 8b)
- 8c)
9) Completa:
- 9a)
- 9b)
- 9c)
- 9d)
- 9e)
- 9f)
- 9g)
- 9f)
10) Calcula las raíces enteras por exceso y por defecto:
- 10a)
;
- 10b)
;
- 10c)
;
11) Calcula a mano las siguientes raíces:
- 11a)
- 11b)
11) Calcula a mano las siguientes raíces:
- 11c)
- 11d)
- 11e)
- 11f)
Actividades para que aprendas a calcular la raíz n-ésima de un número entero.
Raíces exactas e inexactas
Para que una raíz sea exacta, al descomponer el radicando en factores primos, las potencias de éstos deben ser todas números divisibles por el índice.
Ejemplo: Raíces exactas e inexactas
- Calcula las siguientes raíces cuando sean exactas:
a) Descomponemos
.
Como las potencias son divisibles por 3, la raíz es exacta. Para obtenerla, dividimos cada exponente entre el índice:
![\sqrt[3]{216}=\sqrt[3]{2^3 \cdot 3^3}=2^{\frac{3}{3}} \cdot 3^{\frac{3}{3}}=2^1 \cdot 3^1=6](/wikipedia/images/math/4/a/b/4ab09f3247f4181f74270a6db537c4a3.png)
Luego
es racional.
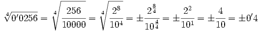
b) Descomponemos
.
Como las potencias son divisibles por 4, la raíz es exacta. Para obtenerla, dividimos cada exponente entre el índice:
![\sqrt[4]{0'0256}=\sqrt[4]{\cfrac{256}{10000}}=\sqrt[4]{\cfrac {2^8}{10^4}}=\pm \cfrac {2^{\frac{8}{4}}}{10^{\frac{4}{4}}}=\pm \cfrac{2^2}{10^1}=\pm \cfrac{4}{10}=\pm 0'4](/wikipedia/images/math/5/8/9/58939d99c96c7c20d77f036bbc449158.png)
Luego
es racional.
c) Descomponemos
.
La potencia de 3 es 1, que no es divisible por 3. Por tanto, la raíz no es exacta.
Luego
es irracional.|
Actividad: Raíces exactas
Solución: Para averiguar las soluciones debes escribir donde pone "Escribe tu consulta" las siguientes expresiones:
|
La raíz como potencia de exponente fraccionario
Proposición
Toda raíz se puede expresar como una potencia de la siguiente forma:
|
|
Basta con ver que se cumple la condición de la definición de raíz:

Pulsa el botón "Ejemplo" para ver distintos ejemplos y anótalos en tu cuaderno:
Ejemplo: La raíz como potencia de exponente fraccionario
- Escribe las siguientes potencias de exponente fraccionario en forma de raíces y calcula su valor:
Utiliza la siguiente escena para comprobar su resultado. Aumenta el número de decimales cuando sea necesario.
Propiedades: Las potencias con exponente fraccionario tienen las mismas propiedades que con exponente natural o entero.
Calculadora
Raíz cuadrada
|
Calculadora: Raíz cuadrada |
Raíz cúbica
|
Calculadora: Raíz cúbica |
Otras raíces
|
Calculadora: Otras raíces |
porque
.
.
.
porque
.
porque
.
porque
.
porque ningún número elevado a 4 puede dar negativo (-8).

