Sistemas de ecuaciones (1ºBach)
De Wikipedia
| Enlaces internos | Para repasar o ampliar | Enlaces externos |
| Indice Descartes Manual Casio | Test de Álgebra | WIRIS Geogebra Calculadoras |
Tabla de contenidos |
Sistemas de ecuaciones 2x2
En este tema vamos a trabajar con sistemas de 2 ecuaciones con 2 incógnitas, también llamados sistemas 2x2.
- Un sistema de dos ecuaciones con dos incógnitas o simplemente, sistema 2x2, es la agrupación de dos ecuaciones con dos incógnitas (por ejemplo: x e y).
- Se llama solución de un sistema 2x2 a cualquier pareja de valores de x e y que sea solución de ambas ecuaciones a la vez.Resolver un sistema es hallar sus soluciones.
- Dos sistemas son equivalentes si tienen las mismas soluciones.
Número de soluciones de un sistema
- Un sistema es compatible si tiene solución e incompatible si no la tiene.
- Un sistema es determinado si tiene un número finito de soluciones e indeterminado si tiene infinitas soluciones.
- Usaremos las siguientes siglas para abreviar:
- S.C.D. : Sistema Compatible Determinado (un número finito de soluciones)
- S.C.I. : Sistema Compatible Indeterminado (infinitas soluciones)
- S.I. : Sistema Incompatible (sin solución)
Métodos de resolución de sistemas
En cursos pasados estudiamos sistemas de ecuaciones lineales; en éste, además, vamos a estudiar sistemas de ecuaciones que no son lineales. Vamos a ver tres métodos para resolver un sistema de ecuaciones: sustitución, igualación y reducción.
Método de sustitución
El método de sustitución consiste en despejar una incógnita en una de las ecuaciones y sustituir en la otra. Así, la ecuación sustituida, que se queda con una sola incógnita, se resuelve, lo que permite averiguar esa incógnita. Finalmente, el valor de la otra incógnita se obtiene sustituyendo el valor obtenido.
Ejemplo: Método de sustitución
- Resuelve por el método de sustitución el siguiente sistema:

Despejamos la
en la primera ecuación:
Sustituimos esta expresión de la
en la segunda ecuación:
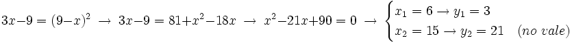
Elevamos al cuadrado los dos miembros de la ecuación para quitar el símbolo radical:
Comprobadas las soluciones en el sistema de partida, sólo resulta válida la primera solución.

Método de igualación
El método de igualación consiste en despejar la misma incógnita en las dos ecuaciones e igualar las expresiones resultantes. Así, nos queda una ecuación con una sola incógnita. Esta se resuelve y permite averiguar dicha incógnita. Finalmente, el valor de la otra incógnita se obtiene sustituyendo el valor obtenido.
Ejemplo: Método de igualación
- Resuelve por el método de igualación el siguiente sistema:

Como ya tenemos despejada la x\; en ambas ecuaciones, igualamos ambas expresiones:

Método de reducción
El método de reducción consiste en obtener ecuaciones equivalentes a las de partida, de manera que al sumarlas, se obtenga una ecuación en la que se ha eliminado una de las incógnitas. Así, nos queda una ecuación con una sola incógnita, que se resuelve, permitiendo averiguar dicha incógnita. Finalmente, el valor de la otra incógnita se obtiene sustituyendo el valor obtenido.
Ejemplo: Método de reducción
- Resuelve el siguiente sistema:

- Multiplicamos la primera ecuación por 4 y la segunda por (-3)

Sumamos miembro a miembro las dos ecuaciones:
12x + 8y = 28
-12x + 9y = -45
----------------
17y = -17

|
|
- Sustituimos el valor
en cualquiera de las dos ecuaciones, por ejemplo en la primera:


|
|
- Así, la solución del sistema es:
|
|
Comprueba en la siguiente escena la solución del sistema. para ello deberás introducir los coeficientes de cada ecuación en las casillas correspondientes.

