Cálculo de primitivas inmediatas (2ºBach)
De Wikipedia
| Enlaces internos | Para repasar o ampliar | Enlaces externos |
| Indice Descartes Manual Casio | WIRIS Calculadora |
Tabla de contenidos |
Integrales inmediatas básicas
Empezaremos viendo aquellas funciones cuyas primitivas son las funciones elementales. Basta con recordar las reglas de derivación que vimos en un tema anterior y que puedes ver en el siguiente enlace: Ver reglas de derivación.
Reglas básicas de integración:
- Integral de un número.
- Integral de una potencia.
Reglas básicas de integración:
- Integral de una potencia (ampliación).
- Integral del logaritmo neperiano.
Reglas básicas de integración:
- Integral de funciones exponenciales.
Reglas básicas de integración:
- Integral de funciones trigonométricas.
Reglas básicas de integración:
- Integral de funciones trigonométricas (ampliación).
Integrales inmediatas
En este apartado estudiaremos las integrales de funciones cuyas primitivas son funciones compuestas. Más concretamente:
Proposición
Demostración:
Es inmediato si a partir de la derivada de la función compuesta
Integrales inmediatas.
Integrales inmediatas (continuación).
Integrales inmediatas (continuación).
Integrales inmediatas
De esta manera tenemos las siguientes integrales inmediatas:
Ejercicios resueltos: Primitivas inmediatas
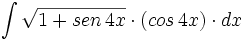
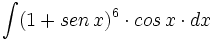
Primitivas del tipo
- Primitivas del tipo
. Ejemplos
- Ejercicios:
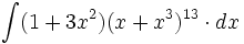
- Primitivas del tipo
en las que hay que aplicar el binomio de Newton.
- Ejercicios:
- Determine la función "f" tal que: f(0)=0, f'(0)=5, f(0)=1 y f'(x)=x+1
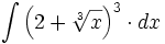
- Determine la primitiva de
que pasa por el origen.
Ejercicios resueltos: Primitivas inmediatas
Primitivas del tipo

