Estimación por intervalos de confianza de medias y proporciones
De Wikipedia
| Ir a | Para repasar | Para ampliar | Enlaces externos |
| Indice Casio | Inferencia | WIRIS Calculadora Descartes |
Tabla de contenidos |
Intervalo de confianza para la media
Ya vimos que la distribución muestral de las medias corresponde a:
Queremos estimar la media poblacional μ a partir de la media muestral
, obteniendo para ello un intervalo de forma que tengamos una probabilidad alta (1 − α).100% de que la media poblacional esté en dicho intervalo.
Tipificando la expresión anterior:
Si fijamos una probabilidad α, podemos obtener -z y z que limitan un área de valor 1 - α. Deshaciendo la tipificación obtenemos el intervalo de confianza para la media:
En Resumen:
Intervalo de confianza para la media poblacional μ con un nivel de confianza de 1 − α es:
a) Varianza poblacional conocida:
|
|
b) Varianza poblacional desconocida y muestras grandes (
):
|
|
Donde z, llamado valor crítico, es el valor que en la distribución N(0,1) deja a su derecha un área de
), s la desviación típica muestral y n el tamaño de la muestra.
Cálculo del valor crítico
Será necesario la Tabla N(0,1)
En la tabla N(0,1) aparece directamente la
para valores de z entre 0 y 4. Observa que para valores mayores que 4 la probabilidad ya es prácticamente 1.
La única dificultad es calcular según el valor de alfa y en la tabla de la N(0,1), el valor de z que deja a su derecha un área de alfa/2. Anótalo en tu cuaderno de trabajo para los valores más normales del nivel de confianza: 90%, 95%, 99%. Comprueba dichos valores en la siguiente escena:
|
Actividades Interactivas:Intervalo de confianza para la media
Actividad 1. A una muestra de 150 estudiantes de 2º de Bachillerato en cierta ciudad correspondió una estatura media de 1,73 m, siendo la desviación típica de 4,9 cm. Estima la estatura media de la población, y calcula, para un nivel de confianza del 99%, el intervalo de confianza para la media.
Actividad:
|
Intervalo de confianza para la proporción
Sea p desconocida la proporción de elementos en la población pertenecientes a una categoría C, sacamos una muestra y se trata de obtener un intervalo de forma que tengamos una probabilidad alta (1-alfa).100% de que la proporción esté en ese intervalo.
Si se cumple una de las siguientes hipótesis, y que habrá de comprobarlas en todos los problemas son:
En estas condiciones se obtienen los siguientes intervalos según el tamaño de la muestra:
- a) El tamaño de la muestra es mayor de 30 y menor o igual de 100.
|
|
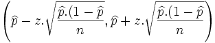
- b) El tamaño de la muestra es mayor de 100.
|
|
|
Actividades Interactivas:Intervalo de confianza para la proporción
Actividad 1. En cierta población se seleccionó aleatoriamente una muestra de 300 personas a las que se les sometió a cierto test cultural. De ellas, 225 resultaron aprobadas. Teniendo en cuenta esta información, estimar el porcentaje de persona de esa población que resultarían aprobada si se las sometiera a dicho test cultural. Obtener, con un nivel de confianza del 95%, un intervalo de confianza para la proporción
Actividad:
|
La determinación del tamaño muestral
Consiste en calcular el tamaño de la muestra necesario para que el error cometido al estimar el parámetro sea menor que una cierta cantidad, E, con un nivel de confianza de (1-alfa).100%.
- a) Como para la media el error máximo cometido era de
para garantizar que este valor sea menor o igual que un cierto error E, despejando n resulta:
|
|
- b) Como para la proporción el error máximo cometido era de
para garantizar que este valor sea menor o igual que un cierto error E, despejando n resulta:
|
|
|
Actividades Interactivas:Determinación del tamaño muestral
Actividad 1. A partir de la información suministrada por una muestra aleatoria de 100 familias de cierta ciudad se ha estimado el gasto medio mensual por familia en electricidad en 50 €, con una desviación típica de 31.05 €, con un nivel de confianza del 99%. Calcular el error cometido. ¿Qué número de familias tendríamos que seleccionar al azar como mínimo para garantizarnos, con una confianza del 99%, una estimación de dicho gasto medio con un error máximo no superior a 3?
Actividad: Utiliza la escena siguiente:
Actividad 2.De qué tamaño habría que elegir una muestra para estimar la proporción de alumnos del instituto que le gusta el fútbol con un nivel de confianza del 95% y un error inferior a 0.05, si en una muestra de 10 alumnos, 6 de ellos respondieron que les gustaba el fútbol.
Actividad: Utiliza la escena siguiente: |
Ejercicios
|
Ejercicios:Intervalos de confianza
1. Estamos interesados en conocer el consumo diario medio de cigarrillos entre los alumnos de Centros de Bachillerato de nuestra localidad. Seleccionada una muestra aleatoria de 100 alumnos se observó que fumaban una media de 8 cigarrillos diarios. Si admitimos que la varianza de dicho consumo es de 16 cigarrillos en el colectivo total, estime dicho consumo medio con un nivel de confianza del 90 %.
Solución: (7.34, 8.66)
2. Estamos interesados en conocer el consumo diario medio de cigarrillos entre los alumnos de Centros de Bachillerato de nuestra localidad . Seleccionada una muestra aleatoria de 100 alumnos se observó que fumaban una media de 8 cigarrillos diarios. Si admitimos que la varianza de dicho consumo es de 16 cigarrillos en el colectivo total, ¿qué margen de error cometeríamos si afirmamos que la media en la población está comprendida entre 7.5 y 8.5 cigarrillos/día?.
Solución: α = 0.2112(21.12%)
3. Se desea hacer una estimación sobre la edad media de una determinada población. Calcula el tamaño de la muestra necesario para poder realizar dicha estimación con un error menor de medio año a un nivel de confianza del 99,73%. Se conoce de estudios previos que la edad media de dicha población tiene una desviación típica igual a 3.
Solución: De 324 personas, al menos, debe estar compuesta la muestra.
4. Tomada, al azar, una muestra de 120 estudiantes de una Universidad, se encontró que 54 de ellos hablaban inglés. Halle, con un nivel de confianza del 90%, un intervalo de confianza para estimar la proporción de estudiantes que hablan el idioma inglés entre los estudiantes de esa Universidad.
Solución: I=(0.3753, 0.5247)
5. Con los datos del ejercicio anterior, se pretende repetir la experiencia para conseguir que la cota del error que se comete al estimar, por un intervalo de confianza, la proporción de alumnos que hablan inglés en esa Universidad no sea superior a 0,05, con un nivel de confianza del 99%. ¿Cuántos alumnos tendríamos que tomar, como mínimo, en la muestra?
Solución: n=657
6. Mediante una muestra aleatoria de tamaño 400 se estima la proporción de residentes en Sevilla que tienen intención de asistir a un partido de fútbol entre el Betis y el C.F. Sevilla. Si para un nivel de confianza del 95% resulta un error máximo en la estimación del 3%. Obtenga el valor de la estimación, sabiendo que es inferior a 0,25.
Solución: ![]() |
Comprobadores Java
Para la media:
Para la proporción:


