Fórmulas trigonométricas (1ºBach)
De Wikipedia
| Enlaces internos | Para repasar o ampliar | Enlaces externos |
| Indice Descartes Manual Casio | WIRIS Geogebra Calculadoras |
Tabla de contenidos |
Introducción
En este tutorial se condensan todas las fórmulas que van a verse en esta página, acompañadas de algunos ejemplos.
Razones trigonométricas de la suma y de la diferencia de dos ángulos
Razones trigonométricas de la suma de dos ángulos
I.1:
I.2:
I.3:
Ejemplo: Razones trigonométricas de la suma de dos ángulos
Calcula el valor exacto de
(sin calculadora)

Fórmulas trigonométricas de la suma de dos ángulos con demostración.
Demostración de la fórmula del seno de la suma de dos ángulos.
Demostración de la fórmula del coseno de la suma de dos ángulos.
Demostración de la fórmula de la tangente de la suma de dos ángulos.
Demostración de la fórmula del seno de la suma de dos ángulos.
Demostración de la fórmula del coseno de la suma de dos ángulos.
Demostración de la fórmula de la cotangente de la suma de dos ángulos.
Obtención de la fórmula del seno, coseno y tangente de la suma de tres ángulos.
Halla el valor exacto de
.
Halla el valor exacto de
.
Hallar las razones trigonométricas de
sabiendo que
y
son del segundo cuadrante y que
y que
.
Demostrar que si
, entonces
.
Halla
a partir del dibujo dado en el video.
Halla el valor exacto de
.
¡Ojo!: Estamos trabajando con ángulos en radianes.
Usa las identidades trigonométricas de la suma de ángulos.
Encuentra valores trigonométricos exactos usando las identidades de la suma de ángulos.
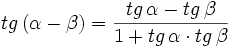
Razones trigonométricas de la diferencia de dos ángulos
II.1:
II.2:
II.3:
Para las demostraciones basta sustituir
por
y aplicar las fórmulas de la suma (I.1, I.2 y I.3) y tener en cuenta las relaciones entre las razones trigonométricas de un ángulo y su opuesto:

Ejemplo: Razones trigonométricas de la diferencia de dos ángulos
Calcula el valor exacto de
(sin calculadora)

Fórmulas trigonométricas de la diferencia de dos ángulos con demostración.
Obtención del valor exacto de
a partir de la fórmula del seno del ángulo diferencia.
Obtención del valor exacto de
.
Razones trigonométricas del ángulo doble y del ángulo mitad
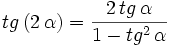
Razones trigonométricas del ángulo doble
III.1:
III.2:
III.3:
Basta utilizar las fórmulas de la suma (I.1, I.2 y I.3) y hacer
.Ejemplo: Razones trigonométricas del ángulo doble
Calcula el valor de
a partir de las razones trigonométricas de 60º.

Razones trigonométricas del ángulo mitad
IV.1:
IV.2:
IV.3:
Teniendo en cuenta que
y utilizando la fórmula III.2 del coseno del ángulo doble, tenemos:

que combinado con la fórmula fundamental, nos da el siguiente sistema:
Sumando y restando ambas ecuaciones, tenemos las siguientes expresiones:
y
, y a partir de ellos, se obtiene el valor de
.Ejemplo: Razones trigonométricas del ángulo mitad
Calcula el valor exacto de
(sin calculadora).

Fórmulas trigonométricas del ángulo doble y del ángulo mitad con demostración.
Razones trigonométricas del ángulo doble:
Demostración de la fórmula del seno del ángulo doble.
Demostración de la fórmula del coseno del ángulo doble.
Demostración de la fórmula de la tangente y la cotangente del ángulo doble.
Si
y
, halla el valor exacto de
.
Comprueba la siguiente identidad trigonométrica:
- a) Calcula:
- b) Sin usar la fórmula del ángulo doble, demuestra que
.
Halla el valor de x en la figura dada.
Halla el valor que te piden en la figura dada.
Halla
a partir del dibujo dado en el video.
Razones trigonométricas del ángulo mitad:
Demostración de la fórmula del seno del ángulo mitad.
Demostración de la fórmula del coseno del ángulo mitad.
Demostración de la fórmula de la tangente del ángulo mitad.
- a) Demostrar que
.
- b) Demostrar que
. (este ejercicio queda propuesto pero no resuelto)
- c) Apoyándote en los apartados anteriores, simplifica
Reduce
en función de
.
Razones trigonométricas del ángulo triple
Obtención de la fórmula del seno del ángulo triple.
Obtención de la fórmula del coseno del ángulo triple.
Obtención de la fórmula de la tangente del ángulo triple.
- Determinar el
en función del
.
- Determinar el
en función del
.
Si
, halla
.
Eliminar x en:
Transformaciones de sumas y diferencias de senos y cosenos en productos
Transformaciones de sumas en productos
V.1:
V.2:
V.3:
V.4:
V.1 y V.2:
Partiendo de las expresiones del I.1 y II.1 del seno de una suma y de una diferencia:
- I.1:
- II.1:
Sumando y restando ambas expresiones, obtenemos:
- Sumando:
[1]
- Restando:
[2]
Hacemos los siguientes cambios de variable:
Resolviendo este sistema:
Fórmulas trigonométricas de la transformación de la suma o diferencia en producto con demostración.
Demostración de las fórmulas trigonométricas de la transformación de la suma o diferencia de cosenos en producto.
Demostración de las fórmulas trigonométricas de la transformación de la suma o diferencia de senos en producto.
Ejercicios.
Ejercicios.
Ejercicios.
Ejercicios.
Ejercicios.
Ejercicios.
Ejercicios
Actividad para practicar el cálculo de las razones trigonométricas de la suma y de la diferencia de ángulos.
Aviso: Antes de hacer la actividad puedes ver algunos ejemplos en: Ejemplos
Actividad para practicar el cálculo de las razones trigonométricas del ángulo doble y mitad.
Aviso: Antes de hacer la actividad puedes ver algunos ejemplos en: Ejemplos
Razones trigonométricas del ángulo suma y diferencia:
Usando las razones trigonométricas de la suma y de la diferencia, calcula:
- a)
- b) Si
y
, calcula
.
- a) Si
, simplifica
- b) Simplifica:
Simplifica:
Razones trigonométricas del ángulo doble y mitad:
Si μ es un ángulo del tercer cuadrante, y
, determinar las razones trigonométricas de μ / 2.
Ejercicios propuestos
|
Ejercicios propuestos: Fórmulas trigonométricas |
)






