Plantilla:Cálculo del límite de una función (1ºBach)
De Wikipedia
Tabla de contenidos |
Cálculo del límite de una función en un punto
El cálculo del límite de una función en un punto puede ser muy fácil (inofensivo) o difícil (peligroso). Vamos a ver como hay que proceder en cada caso. En los siguientes videos puedes ver algunas nociones previas de interés.
Problema típico: te dan la función "f" y te piden que, si existe, calcules su límite en el punto "c".
- Límites inofensivos: si para calcular f(c) no se viola ninguna Regla Sagrada, la función "f" tiene límite en "c" y coincide con f(c); o sea, existen los dos límites laterales de "f" en "c" y coinciden con f(c).
- Límites peligrosos: si para calcular f(c) se viola ninguna Regla Sagrada, el cálculo del límite de "f" en "c" puede ser muy complicado, y no hay ninguna receta mágica que resuelva el problema en todos los casos.
No debes olvidar que para calcular el límite en un punto nos importa un pito si la función está o no definida en dicho punto, sólo nos interesa que la función está definida en las proximidades del punto.
La operación lógica que llamamos paso al límite (PL) se reduce a conjugar la tercera persona del singular del presente de indicativo del verbo tender.
Recuerda: al escribir x → c (se lee "x" tiende a "c") queremos decir que "x" (o sea, tú) se aproxima a "c" indistintamente por la izquierda o por la derecha.
Este vídeo es muy importante: en él hablamos de operaciones con límites, y las efectuaremos constantemente a partir de ahora.
Propiedades de las operaciones con límites. Ejemplos.
El siguiente vídeo resume gran parte de lo que vamos a ver en los siguientes apartados.
- Cálculo del límite en un punto donde la función es continua.
- Operaciones con límites.
- Límite de funciones a trozos.
- Límite de funciones racionales.
- Indeterminaciones.
- Operaciones con infinito.
Límite en un punto en el que la función es continua
El caso más sencillo de cálculo del límite de una función en un punto es aquel en el que la función es continua en dicho punto. En efecto:
Proposición
Si
es continua en el punto
, entonces

- Es inmediato, por la propia definición de función continua en un punto.
Ejemplo: Cálculo del límite en un punto en el que la función es continua
Calcula:
y sabemos que la función es continua en su dominio por ser una función elemental (cociente de funciones polinómicas).
Como
, entonces
es continua en 3 y, por tanto:

Cálculo de
Cálculo de
Cálculo de
Cálculo de
Ejercicios propuestos
|
Ejercicios propuestos: Límite en un punto en el que la función es continua |
Límite de funciones a trozos
A continuación vamos a ver cómo se estudian los límites de una función definida a trozos. Por simplicidad supondremos que la función consta de sólo dos trozos, pero el procedimiento es extensible a funciones definidas en más de dos trozos.
Procedimiento
Consideremos la siguiente función definida a trozos:

con
y
continuas.
Para el estudio del
consideraremos los siguientes casos:
- Si
, entonces
- Si
, entonces
- Si
, entonces es necesario calcular los límites laterales y si éstos coinciden existirá el límite. Para calcular los límites laterales procederemos como se indica a continuación:
Entonces, si
, existirá el límite y será:
.
Ejemplo: Límite de una función definida a trozos. Estudio de la continuidad
Estudia la continuidad de la siguiente función:

Veamos primero como es la función en cada trozo:
- Si
,
es continua por ser una función polinómica, ya que sabemos que toda función polinómica es continua en
, en particular en
.
- Si
,
es continua por ser una función polinómica, ya que sabemos que toda función polinómica es continua en
, en particular en
.
Falta estudiar la continuidad en
.
Recordemos que una función
es continua en
si

o equivalentemente, si

Calculemos los límites laterales y el valor de la función en
:
.
Como
, los límites laterales no coinciden y, por tanto, no existe el límite en
. En consecuencia, la función no es continua en
.
Estudia la continuidad de la función:
Comprueba que la siguiente función tiene una discontinuidad evitable:
Comprueba que la siguiente función tiene una discontinuidad evitable:
Estudia la continuidad de la función:
Nota: En este vídeo también estudia la derivabilidad que se verá en el siguiente tema.
Estudia la continuidad de la función:
Nota: En este vídeo también estudia la derivabilidad que se verá en el siguiente tema.
Estudia la continuidad de la función:
Ejemplo: Límite de una función definida a trozos con parámetros. Estudio de la continuidad
Halla el valor del parámetro "n" para que la función sea continua en toda la recta real:

Veamos primero como es la función en cada trozo:
- Si
,
es continua por ser una función polinómica, ya que sabemos que toda función polinómica es continua en
, en particular en
.
- Si
,
es continua por ser una función polinómica, ya que sabemos que toda función polinómica es continua en
, en particular en
.
Falta estudiar la continuidad en
.
Recordemos que una función
es continua en
si

o equivalentemente, si

Calculemos los límites laterales y el valor de la función en
:
.
Para que los dos límites laterales coincidan con
deberá ocurrir que:

Puedes hacer uso de la siguiente escena de Geogebra para comprobar la solución:
En esta escena podrás representar funciones definidas en hasta 4 trozos.
Averigua los valores de "a" y "b" para que la siguiente función sea continua.
Averigua los valores de "m" para que la siguiente función sea continua en x=1.
Nota: En este vídeo también estudia la derivabilidad que se verá en el siguiente tema.
Averigua los valores de "a" y "b" para que la siguiente función sea continua en x=1:
Nota: En este vídeo también estudia la derivabilidad que se verá en el siguiente tema.
Halla el valor de "h" para que la siguiente función se continua en el conjunto de los números reales:
Halla el valor de "a" y "b" para que la siguiente función se continua en el conjunto de los números reales:
Halla el valor de "a" y "b" para que las siguientes funciones sean continuas en el conjunto de los números reales:
- a)
- b)
Halla el valor de "a" y "b" para que la siguiente función sea continua en el conjunto de los números reales:
Límites peligrosos
Vamos a considerar que un límite es "peligroso" o difícil de calcular, si la función en dicho punto no está definida y, por tanto, no podemos aplicar la propiedad de que el valor del límite en un punto en el que la función es continua coincide con el valor de la función en dicho punto.
En este vídeo establecemos el protocolo de actuación cuando al hacer un PL nos encontramos con cualquiera de las siguientes tres situaciones:
- Cociente cuyo denominador tiende a 0, pero no así el númerador.
- Logaritmo de un número que tiende a 0.
- Raíz de índice par de un número que tiende a 0.
Límite de una función en un punto en el que se anula el denominador
Procedimiento
Cuando el denominador de la función se anula en el punto en el que queremos calcular el límite, nos podemos encontrar con dos situaciones:
- El numerador no se anula: entonces calcularemos los límites por la derecha y por la izquierda que podrán ser
ó
. En tal caso el límite podrá no existir (si los límites laterales no coinciden) o podrá der
ó
(si los límites laterales coinciden).
- El numerador también se anula: entonces tendremos una indeterminación del tipo 0/0. Para resolverla haya que recurrir a técnicas especiales. El caso en el que la función sea racional lo trataremos más adelante.
Ejemplo: Límite de una función en un punto en el que se anula el denominador
Calcula el valor de los siguientes límites:
- a)
b)
a) No existe el límite porque:
, ya que el denominador tiende a 0 + .
, ya que el denominador tiende a 0 − .
Para calcular esos límites se debe recurrir a una tabla de valores con valores cercanos a 0 por la derecha y por la izquierda.
b) El numerador y el denominador tienden a 0 (a esto se le llama una "indeterminación del tipo 0/0"). Usando la calculadora (no tenemos otra herramienta, de momento, para este caso), se puede comprobar que:
Puedes hacer uso de la siguiente escena de Geogebra para comprobar la solución:
En esta escena podrás representar funciones definidas en hasta 4 trozos.
Límite de cociente de funciones polinómicas
Procedimiento
Sea
, con
y
dos polinomios en x.
. En este caso será necesario estudiar los límites laterales para determinar el signo del infinito por cada lado. Podemos hacer uso de la calculadora.
. Para resolver la indeterminación simplificaremos la fracción, ya que al anularese los dos polinomios deberán tener factores comunes. Una vez simplificada volveremos a calcular el límite, pudiendo darse cualquiera de las tres situaciones que acabamos de ver, repitiendo el proceso hasta que estemos en los caso 1 ó 2 y quede calculado el límite.
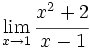
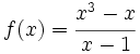
Ejemplo: Límite de una función cociente de polinomios
Calcula el valor de los siguientes límites y haz un esbozo gráfico del resultado:
- a)
b)
a) Estamos en el el segundo caso y tendremos que estudiar los límites laterales:
. Usando la calculadora, dando a x valores próximos a 2 por la izquierda: 1.99, 1.999,...
. Usando la calculadora, dando a x valores próximos a 2 por la derecha: 2.01, 2.001,...
b) Estamos en el caso 3 porque numerador y el denominador se anulan en x=2 (indeterminación del tipo 0/0). Debemos simplificar la fracción:
- Ahora estamos en el caso 1:
Para ver el comportamiento gráfico usa la siguiente escena de Geogebra:
En esta escena podrás representar funciones definidas en hasta 4 trozos.
Estudio de la continuidad de una función dada por su gráfica.
Ejemplos de cada uno de los tres casos de límites de cociente de funciones polinómicas.
- a)
- b)
- c)
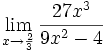
Límite de cociente de funciones polinómicas (Tipo a/0)
3 ejemplos de límites del tipo a/0:
- a)
- b)
- c)
Límite del tipo a/0:
2 ejemplos de límites del tipo a/0:
- a)
- b)
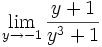
Límite de cociente de funciones polinómicas (Tipo 0/0)
Límite del tipo 0/0: 2 ejercicios de límites del tipo 0/0:
Límite del tipo 0/0: Límite del tipo 0/0: Límite del tipo 0/0: Límite del tipo 0/0: Límite del tipo 0/0: Límite del tipo 0/0: Límite del tipo 0/0: Límite del tipo 0/0: Límite del tipo 0/0: Límite del tipo 0/0: Límite del tipo 0/0: | Límite del tipo 0/0: Límite del tipo 0/0: Límite del tipo 0/0: Límite del tipo 0/0: Límite del tipo 0/0: Límite del tipo 0/0: Límite del tipo 0/0: Límite del tipo 0/0: Límite del tipo 0/0: Límite del tipo 0/0: Límite del tipo 0/0: Límite del tipo 0/0: Límite del tipo 0/0: |
Ejercicios
Estudio de la continuidad:
Estudia la continuidad de la función:
Averigua los valores de "a", "b", "c" y "d" para que la siguiente función sea continua.
Comprueba que la siguiente función tiene una discontinuidad evitable.
Estudia la continuidad de las siguientes funciones:
Estudia la continuidad de las siguientes funciones:
Halla el valor de "k" para que las siguientes funciones sean continuas en el conjunto de los números reales:
Halla el valor de "a" y "b" para que las siguientes funciones sean continuas en el conjunto de los números reales:
Estudia la continuidad de las siguientes funciones:
Estudia la continuidad de las siguientes funciones:
Cálculo de límites:
Calcula los siguientes límites:
Calcula:
1.
Calcula:
2.
Calcula:
3.
Calcula los límites cuando x tiende a -2, 3, 1, 4 y 7 de la siguiente función:

