Plantilla:Factorización de polinomios usando identidades notables

De Wikipedia

Las identidades notables son útiles para completar ciertas operaciones de forma rápida, pero una de sus aplicaciones más interesantes consiste en hacer lo contrario, deshacer cuentas. Son una potente herramienta para la descomposición y simplificación de expresiones algebraicas.

ejercicio

Ejemplos: Factorización de polinomios usando productos notables


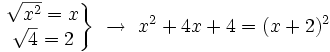
Factoriza:

a) 4x^2-9 \;\!
b) x^2+4x+4 \;\!

* AVISO: Para que te funcionen los applets de Java debes usar Internet Explorer y seguir las instrucciones de la Ayuda del menu de la izquierda