Plantilla:Ramas infinitas. Asíntotas (1ºBach)
De Wikipedia
Tabla de contenidos |
Ramas infinitas
Una función presenta una rama infinita si presenta una asíntota o una rama parabólica.
Pasamos a definir asíntota y rama parabólica.
Asíntota
Una asíntota es una recta hacia la que se acerca la gráfica de una función, tanto como se quiera, a medida que la variable independiernte se aproxima a un punto, a
o a
.
Hay tres tipos:
- Asíntota vertical (A.V.)
- Asíntota horizontal (A.H.)
- Asíntota oblicua (A.O.)
Nota: La función nunca puede cortar una A.V., pero si puede cortar a una A.H. o a una A.O.
Asíntotas. Tipos.
Asíntota vertical
Una función Nota: Se pueden dar las dos condiciones o una sola de ellas. Veamos cómo la función En efecto, Haz uso de la siguiente escena de Geogebra para comprobar la solución: En esta escena podrás representar funciones definidas en hasta 4 trozos. | Asíntota vertical: x = 2
|
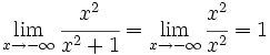
Asíntota horizontal
Una función ![]() o bien, ![]() Nota: Se pueden dar las dos condiciones o una sola de ellas. Veamos cómo la función En efecto, Haz uso de la siguiente escena de Geogebra para comprobar la solución: En esta escena podrás representar funciones definidas en hasta 4 trozos. | Asíntota horizontal: y = 1
|
Asíntota oblicua
Una función ![]() o bien, ![]() Nota: Se pueden dar las dos condiciones o una sola de ellas. Para calcular los coeficientes
Veamos cómo la función En efecto, sea Para Haz uso de la siguiente escena de Geogebra para comprobar la solución: En esta escena podrás representar funciones definidas en hasta 4 trozos. | Asíntota oblicua: y = x + 3
|
Rama parabólica
Una función ![]() o bien, ![]() | Ramas parabólicas
|
Las funciones exponenciales, las polinómicas de grado mayor que 1, las logarítmicas y las irracionales tienen ramas parabólicas. Las dos primeras tienen un crecimiento/decrecimiento más rápido que las dos últimas.
Estudio de las asíntotas de una función
Asíntotas. Conceptos básicos. Ejemplos.
Estudio de las asíntotas verticales de una función.
Estudio de las asíntotas horizontales de una función.
Estudio de las asíntotas oblicuas de una función racional (Introducción).
Estudio de las asíntotas oblicuas de una función racional.
Estudio de las asíntotas oblicuas de una función no racional.
Estudia las asíntotas de las siguientes funciones:
|
Actividad: Tendencia de una función
Solución: Para averiguar las soluciones debes escribir donde pone "Escribe tu consulta" las siguientes expresiones:
|
Ejercicios propuestos
|
Ejercicios propuestos: Ramas infinitas |
Ramas infinitas de las funciones racionales
Proposición
Consideremos la función racional en la variable x, ya simplificada (es decir, si el numerador y el denominador tienen factores comunes, cosa que ocurre si se anulan simultáneamente en algún punto, factorizaremos y simplificaremos dichos factores):

La función
(ya simplificada) tiene las siguientes ramas infinitas, si se da alguno de los siguientes casos:
- Asíntotas verticales:
- Si
es una raíz de Q(x), entonces la recta
es una asíntota vertical de
.
- Si
- Asíntotas horizontales:
- Si
, entonces la recta
es una asíntota horizontal de
, tanto por
, como por
.
- Si
, entonces la recta
es una asíntota horizontal de
, tanto por
, como por
.
- Si
- Asíntotas oblicuas:
- Si
,
tienen una asíntota oblicua, tanto por
, como por
. Dicha asíntota es igual al cociente de la división entre
y
.
- Si
- Ramas parabólicas:
- Si
, entonces
tiene una rama parabólica, tanto por
, como por
.
- Si
Obtén las asíntotas de la función
Obtén las asíntotas de la función
Obtén las asíntotas de las funciones:
Obtén las asíntotas de las funciones:
Estudio de las asíntotas de
.
Hace un estudio detallado de la posición relativa de la curva respecto de la asíntota oblicua usando el método riguroso de límites.
Lista de reproducción que consta de 12 vídeos sobre estudio de asíntotas de funciones racionales.
Ejercicios resueltos
Halla todas las ramas infinitas de las siguientes funciones:
- a)
b)
c)
a) A.V.: x=0, x=2; A.H.: y=1
b) A.V.: x=2; A.O.: y=x-3
c) A.V.: x=3; R.I.
Haz uso de la siguiente escena de Geogebra para comprobar las soluciones:
En esta escena podrás representar funciones definidas en hasta 4 trozos.
Ejercicios propuestos
|
Ejercicios propuestos: Ramas infinitas de las funciones racionales |
Ramas infinitas de las funciones trigonométricas, exponenciales y logarítmicas
Funciones trigonométricas
Si recordamos las propiedades de las funciones trigonométricas, tenemos:
Propiedades
- Las funciones
,
e
, por ser periódicas, no tienen límite cuando
ni cuando
. Por tanto no tienen ramas parabólicas, ni asíntotas horizontales. Las dos primeras tampoco tienen asíntotas verticales por ser su dominio los números reales.
- La función
, tiene infinitas asíntotas verticales en los puntos

Funciones exponenciales
Si recordamos las propiedades de las funciones exponenciales, tenemos:
Propiedades
La función
tiene:
- Asíntota horizontal:
- En
para
si
- En
- En
para
si
- En
- Rama parabólica:
- Para
si
- Para
- Para
si
- Para
- Asíntota vertical: No tiene, pués es continua en toda la recta real.
Funciones logartmicas
Si recordamos las propiedades de las funciones logarítmicas, tenemos:
Ejercicios propuestos
|
Ejercicios propuestos: Ramas infinitas de las funciones trigonométricas, exponenciales y logarítmicas |
una asíntota vertical (A.V.) si ocurre alguna, o ambas, de estas dos cosas:
presenta una A.V. en
si:


presenta una A.H. en
si:
![\lim_{x \to +\infty} [f(x)-(mx+n)]= 0](/wikipedia/images/math/b/4/f/b4f57eb5b14023e40e6485b640fd5691.png)
![\lim_{x \to -\infty} [f(x)-(mx+n)]= 0](/wikipedia/images/math/d/c/1/dc195dc202ab07f6f60038a1570d06b3.png)
y
de la asíntota, se procederá de la siguiente manera:
(o bien, con
(o bien, con
presenta una A.O. en


. cuando
se hace infinitamente grande.
tiene:
, cuando
.

