Plantilla:Regla de Ruffini
De Wikipedia
Regla de Ruffini
La Regla de Ruffini es un procedimiento que nos permite dividir un polinomio entre un binomio de la forma
.
Debemos esta regla al matemático italiano Paolo Ruffini,
Procedimiento:
Vamos a dividir el polinomio
entre el binomio
para obtener el cociente
y el resto
.
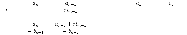
1. Trazamos dos líneas a manera de ejes. Cogemos los coeficientes de
y los escribimos ordenados. Entonces escribimos
en la parte inferior izquierda del eje, encima de la línea:

2. Pasamos el coeficiente más pegado a la izquierda,
, justo debajo de la línea, para obtener el primero de los coeficientes
:

3. Multiplicamos el número más pegado a la derecha debajo de la línea por
y lo escribimos sobre la línea en la primera posición de la derecha:

4. Añadimos los dos valores que hemos puesto en la misma columna:

5. Repetimos los pasos 3 y 4 hasta que no tengamos más números:

son los coeficientes del polinomio cociente
, cuyo grado será un grado menor que el del dividendo
. El resto será
.Ejemplo: Regla de Ruffini
Divide los polinomios usando la regla de Ruffini:
| 7 -5 -4 6 -1
|
2| 14 18 28 68
--|-------------------
| 7 9 14 34 |67
|____
El resultado significa que:
|
|
Regla de Ruffini. Ejemplos.
Regla de Ruffini: Método rápido para realizar divisiones de polinomios entre binomios del tipo (x - a). Ejemplos.
La regla de Ruffini nos permite determinar supersónicamente el cociente y el resto de la división entre un polinomio P(x) y el polinomio Q(x) = x - a.
Cómo se aplica la Regla de Ruffini.
División de polinomios por el método de Ruffini para divisores del tipo (x-a).
Ejemplo de división de polinomios usando la regla de Ruffini.
2 ejemplos de división de polinomios usando la regla de Ruffini.
2 ejemplos de división mediante la regla de Ruffini
Otros 2 ejemplos de aplicación de la regla de Ruffini
Divide
entre
.
a) Divide
entre
b) Divide
entre
Divide los siguientes polinomios utilizando la regla de Ruffini:
- 1a)
- 1b)
- 1c)
- 1d)
- 1e)
- 1f)
Divide los siguientes polinomios utilizando la regla de Ruffini:
- 1g)
- 1h)
- 1i)
- 1j)
- 1k)
- 1l)
Divide los siguientes polinomios utilizando la regla de Ruffini:
- 2a)
- 2b)
- 2c)
- 2d)
- 2e)
Divide los siguientes polinomios utilizando la regla de Ruffini:
- 2f)
- 2g)
- 2h)
- 2i)
- 2j)
Divide los siguientes polinomios utilizando la regla de Ruffini:
- a)
- b)
- c)
Ejercicios de autoevaluación sobre la regla de Ruffini.

