Regla de Cramer (2ºBach)
De Wikipedia
 Tutorial (10´20")     Sinopsis:
 Tutorial (10´20")     Sinopsis:Regla de Crammer para resolver sistemas de ecuaciones
 Ejercicio 1 (7´00")     Sinopsis:
 Ejercicio 1 (7´00")     Sinopsis:Resuelve utilizando la regla de Cramer:
 
 Ejercicio 2 (7'40")     Sinopsis:
 Ejercicio 2 (7'40")     Sinopsis: Resuelve mediante la regla de Cramer:
 Ejercicio 3 (17'20")     Sinopsis:
 Ejercicio 3 (17'20")     Sinopsis: Resuelve mediante la regla de Cramer:
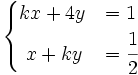
 Ejercicio 4 (7'34")     Sinopsis:
 Ejercicio 4 (7'34")     Sinopsis: Halla el valor de "k" para que el sistema sea compatible determinado:
 Ejercicio 5 (7'34")     Sinopsis:
 Ejercicio 5 (7'34")     Sinopsis:Resuelve utilizando la regla de Cramer:
 
 
 
 

