Reglas de derivación (1ºBach)
De Wikipedia
| Enlaces internos | Para repasar o ampliar | Enlaces externos |
| Indice Descartes Manual Casio | WIRIS Geogebra Calculadoras |
Tabla de contenidos |
(Pág. 308)
Hemos visto en el apartado anterior como se obtiene la función derivada de una función. Es un proceso largo y pesado. Existen una serie de reglas, demostradas por medio de ese procedimiento, que nos permitirán aliviar el trabajo del cálculo de la función derivada.
Derivada de las funciones elementales
Reglas de derivación
- Función constante:
- Función identidad:
- Función potencia:
- Funciones trigonométricas directas:
- Funciones trigonométricas recíprocas:
- Funciones exponenciales:
- Funciones logarítmicas:
Demostración de la regla de la derivada de la función constante
Demostración de la regla de la derivada de la función potencia de exponente constante
Demostración de la regla de la derivada de la función seno
Demostración de la regla de la derivada de la función coseno
Demostración de la regla de la derivada de la función tangente
Demostración de la regla de la derivada de la función exponencial de base e
Demostración de la regla de la derivada de la función logaritmo neperiano
Demostración de la regla de la derivada de la función exponencial de base a
Demostración de la regla de la derivada de la función logaritmo neperiano
Demostración de la regla de la derivada de la función potencia de exponente constante usando logaritmos
Demostración de la regla de la derivada de la función arco seno
Demostración de la regla de la derivada de la función arco coseno
Demostración de la regla de la derivada de la función arco tangente
Otras reglas:
Demostración de la regla de la derivada de la función cotangente
Demostración de la regla de la derivada de la función secante
Demostración de la regla de la derivada de la función cosecante
Demostración de la regla de la derivada de la función arco cotangente
Demostración de la regla de la derivada de la función arco secante
Demostración de la regla de la derivada de la función arco cosecante
Demostración de la regla de la derivada de la función elevada a otra función
Derivada de operaciones con funciones
Reglas de derivación
Demostración: Demostración de la regla de derivación de una función por una constante: Demostración de la regla de derivación de la suma de funciones: Demostración de la regla de derivación del producto de funciones: Demostración de la regla de derivación del cociente de funciones: Ejemplo de uso y demostración de la regla de derivación de la composición de funciones o regla de la cadena: Las reglas de derivación nos permiten calcular derivadas sin calcular límites. Las reglas de derivación nos permiten calcular derivadas sin calcular límites. Los 18 primeros vídeos de esta lista de reproducción repasan las reglas de derivación con ejemplos. Las reglas de derivación nos permiten calcular derivadas sin calcular límites.
Ejemplos de cálculo de la derivada de una función usando las reglas de derivación. Halla la derivada de: Halla la derivada de: Halla la derivada de: Halla la derivada de: a) b) c) d) Halla la derivada de: a) b) Halla la derivada de: a) b) Reglas de derivación de las funciones trigonométricas para casos simple y para casos complejos aplicando la regla de la cadena. Ejemplos. Reglas de derivación de las funciones exponenciales para casos simple y para casos complejos aplicando la regla de la cadena. Ejemplos. Reglas de derivación de las funciones logarítmicas para casos simple y para casos complejos aplicando la regla de la cadena. Ejemplos. Reglas de derivación de las funciones trigonométricas inversas para casos simple y para casos complejos aplicando la regla de la cadena. Ejemplos. Videotutorial |
Ejercicios
Calcula la derivada de:
- 1.
- 2.
Calcula la derivada de:
- 3.
- 4.
- 5.
Calcula la derivada de:
- 6.
Calcula la derivada de y respecto de la variable t:
- 7.
Calcula la derivada de:
- 8.
Calcula la derivada de:
- 9.
Calcula la derivada de:
- 10.
Calcula la derivada de:
- 11.
Calcula la derivada de:
- 12.
Calcula la derivada de:
- 13.
Calcula la derivada de:
- 14.
Calcula la derivada de:
- 15.
Calcula la derivada de:
- 16.
Calcula la derivada de:
- 17.
Calcula la derivada de:
- 18.
Calcula la derivada de:
- 19.
Calcula la derivada de:
- 20.
21. Sabiendo que f(2)=4, f'(4)=6 y f'(2)=-2, calcula:
- a)
- b) La derivada de
cuando x=2.
Calcula la derivada de:
Calcula la derivada de:
Calcula la derivada de:
Calcula la derivada de:
Calcula la derivada de:
Calcula la derivada de:
Calcula la derivada de:
Calcula la derivada de:
Calcula la derivada de:
Calcula la derivada de:
Calcula la derivada de:
Calcula la derivada de:
Calcula la derivada de:
Calcula la derivada de:
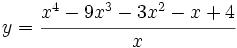
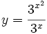
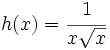
| Calcula la derivada de:
Calcula la derivada de:
Calcula la derivada de:
Calcula la derivada de:
Calcula la derivada de:
Calcula la derivada de:
Calcula la derivada de:
Calcula la derivada de:
Calcula la derivada de:
Calcula la derivada de:
Calcula la derivada de:
Calcula la derivada de:
|
Halla la derivada de:
Halla la derivada de:
Calcula la derivada de:
Calcula la derivada de:
Calcula la derivada de:
Calcula la derivada de:
Calcula la derivada de:
Calcula la derivada de:
Calcula la derivada de:
Calcula la derivada de:
Calcula la derivada de:
Calcula la derivada de: No se pudo entender (función desconocida\sqrtt): y=\cfrac{x\sqrtt{x+1}}{x+1}\;
Calcula la derivada de:
Calcula la derivada de:
Calcula la derivada de:
Calcula la derivada de:
Calcula la derivada de:
Calcula la derivada de:
Calcula la derivada de:
Calcula la derivada de:
Calcula la derivada de:
Calcula la derivada de:
Calcula la derivada de:
Calcula la derivada de:
Calcula la derivada de:
Estudio de la continuidad y de la derivabilidad de una función.
Videotutoriales para aprender a derivar.
Ejercicios propuestos
|
Ejercicios propuestos: Reglas de derivación |


