Ángulos en la circunferencia
De Wikipedia
(Diferencia entre revisiones)
| Revisión de 22:37 18 dic 2007 Coordinador (Discusión | contribuciones) (→Ángulo inscrito) ← Ir a diferencia anterior |
Revisión de 22:39 18 dic 2007 Coordinador (Discusión | contribuciones) (→Ángulo inscrito) Ir a siguiente diferencia → |
||
| Línea 44: | Línea 44: | ||
| </iframe></center> | </iframe></center> | ||
| - | c) Sea AB un diámetro de la circunferencia: <math>\widehat{AOB}=180º</math>. Por el apartado a), el ángulo inscrito <math>\widehat{AVB}</math> ha de medir <math>\cfrac{180}{2} = 90</math>. | + | c) Sea AB un diámetro de la circunferencia: <math>\widehat{AOB}=180</math>. Por el apartado a), el ángulo inscrito <math>\widehat{AVB}=\cfrac{180}{2} = 90</math>. |
| <center><iframe> | <center><iframe> | ||
Revisión de 22:39 18 dic 2007
Menú:
| Enlaces internos | Para repasar | Para ampliar | Enlaces externos |
| Indice Descartes Manual Casio | Ángulos (1ºESO) | WIRIS Geogebra Calculadora |
Ángulo central
Ángulo inscrito
Propiedades: Ángulo inscrito
- a) La medida de un ángulo inscrito en una circunferencia es la mitad del arco que abarca, es decir, la mitad del ángulo central correspondiente.
- b) Como consecuencia, dos ángulos inscritos en una circunferencia, que abarcan el mismo arco son iguales.
- c) Como caso particular, todo ángulo inscrito en una semicircunferncia es recto.
Demostración:
- a) Mueve los puntos A y B y comprueba que el ángulo inscrito mide la mitad que el arco central que le corresponde.
- b) Mueve el vértice V y observa que no varía la medida del ángulo AVB.
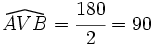
c) Sea AB un diámetro de la circunferencia:
. Por el apartado a), el ángulo inscrito
.
y su arco correspondiente AB.
.

